电场
高斯定理
电通量
传过某个面的电场线的条数
电场代表了电场线的疏密,电场×面积就能代表电场线的条数,即电通量,可类比磁通量用$\Phi $来表示
- 证明过程(不严谨)

高斯定理表达形式
$\oiint E dS=\dfrac{Q}{\varepsilon _{0}}$ (注意对面积进行积分而不是体积)
其中$\varepsilon _{0}$满足$\varepsilon _{0}=\dfrac{1}{4\pi k}$
高斯定理的应用

注意:
高斯面的对称是为了保证处处电场相等,你如果选取的高斯面球心不在中心,那E就是个变量,是所有不同E的平均值,
虽然算出来的结果和正确答案一致,但没有实际意义,充其量算一个没啥用的等效电场
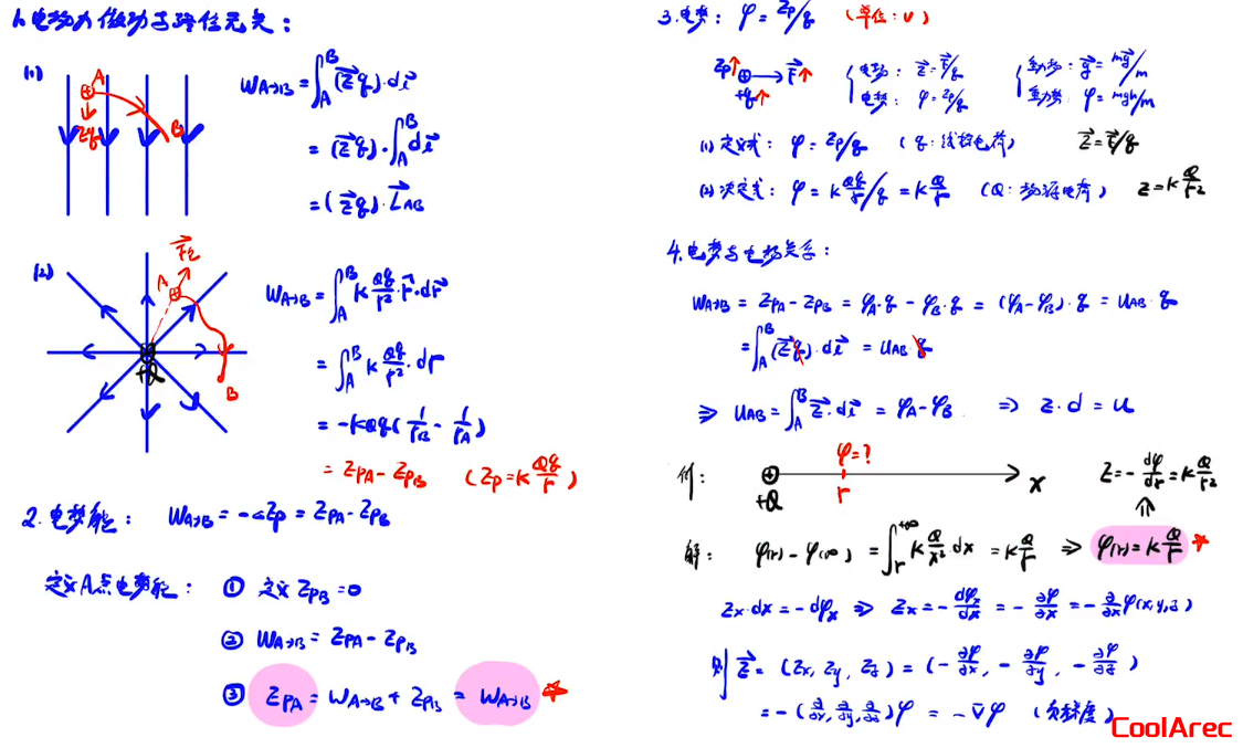
电场 电势能 电势

电势与电场之间的关系是导数与原函数的关系(对路径进行求导或积分)
$-\nabla \varphi =\overrightarrow{E}$
$\varphi =-\int Edx$

安培环路定理

$\oint Edl$ 即电势差,在闭合回路中电势差为0.
自势能

两个球之间的电势能在计算时要减一半
例如两个相同电荷Q之间的电势能就是$\dfrac{kQ^{2}}{2r}$
一个系统的电势为下图,也可以写成$\dfrac{1}{2}\sum \dfrac{kQ_{i}Q_{j}}{r_{i\rightarrow j}}$,其中$\dfrac{kQ_{j}}{r_{i\rightarrow j}}=\varphi$

各种概念总结


静电平衡的条件

- 题目

题目感悟:
- 若存在多个同心圆式球壳,内部的电荷不会影响外部的电势
- 充分利用导体内部电势为0的条件
- 接地之后外部电势即为0
电像法
前提:静电平衡的唯一性定理

在镜像法中,外力做的功是自势能的一半


电像法还要保证最终合成电势为0,不能凭空加一个负电荷就完成了
如果不接地的话,在中间加上一个正电荷形成等势面。
电容
基础概念


隐含条件

题目:


抓住转一圈电压相等和孤岛效应进行求解
并且有稳定时刻左右电压相等
能量问题

等效法
将电容的倒数作为电阻,求出总电阻之后取倒数即可得到总电容
例题(与上面不同)

直接读出电容串并联
恒定电流
电流面密度 J
定义:
$I=\sum _{s}j\Delta S\cos \theta =\int _{s}\overrightarrow{j}d\overrightarrow{S}$
其中 I 为电流强度,j 为电流密度(即单位体积的电量)
- $\overrightarrow{j}=\rho \overline{v}=nev$ ,$\rho$为电阻,n为电流体密度

电阻的两种解释

Y与△型电路变换

例如:

无限电阻
自相似及自全等类


等势点可短可断

基尔霍夫定律


等效电压/流源

应用

电源叠加原理


