菜菜
运动学
第一课时
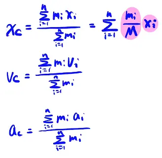
1. 关于质心
过重心的线
面积不一定等分

2. 一维运动

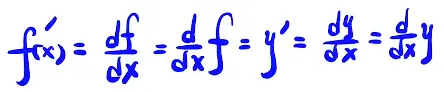
(物理常在对应物理量上加点来表示对时间的导数)

求导公式。上两个为导数公式的不同形式,如果是两个点就表示二阶求导,如图

速度即为路程的导数
第二课时
1. 坐标系
先拿张图镇楼

极坐标系中,位氏可以用r与$\theta$的参数方程来表示,即$\overrightarrow{r}=\begin{cases}r\left( t\right) \ \theta \left(
t\right) \end{cases}$这种形式。
对它求导即可得到速度,用自然坐标系(即将其分解成径向与切向)来表示。例如
。
一道关于极坐标系的题目(注意自然坐标系的应用)
2. 速度
- 注意运用速度是路程的增长率,速度转移到路程来解
- 没啥好说的,分辨一下dr的各种形式吧

3.圆周运动
- 加油站⛽


微元法理解:r沿着圆心有了速度ωr,速度沿着圆心做圆周运动就有了加速度$\omega ^{2}r$
- 注意相对角速度的运用。
如果多个围绕共同圆心作匀速圆周运动质点的周期T的平方与它们各自的轨道半径R的三次方成正比
证明:

- 角加速度β

- 曲率圆及物理中数学的应用

- 有关纯滚动(不打滑)

三角形AOP与速度三角形相似,由此可以推出
- $\omega r=v_{0}$
- 某点合成速度与瞬心P的连线垂直
第三课时
1.相对运动
相对运动公式
1.理解:

公式:$\overrightarrow{v}_{B\rightarrow A}$=$\overrightarrow{v}_{B}$-$\overrightarrow{v}_{A}$
应用:

2.约束条件
- 有关杆,绳,点与面

滑轮:上面定滑轮,下面的是动滑轮
- 模型构建


第四课时
1. 刚体运动
- 瞬心:在刚体运动的任意时刻都可以看成是围绕--个不动中心(相对地面)以给定的瞬时角速度转动,这个不动的中心称为刚体的瞬心,它可以在刚体内部,也可以在刚体外部。
2. 流体运动

分类(以下图为例):

- 不可压缩(单位时间流入某截面的流量恒定):$S_{A}v_{A}=S_{B}v_{B}=C$
- 稳定流动(单位时间流入截面质量恒定):ρSv=C
数学奇技淫巧
数学基础
自相似
数学基础
利用物理方法求曲率圆的曲半径(生草)数学基础:线性插值
离得十分接近可看做直线,29°到30°射程比3:2,角度也为3:2。



